79+ pages two blocks each of mass 3.50 kg 2.2mb answer in Google Sheet format. Two blocks of mass m 1 350 kg and m 2 800 kg are connected by a massless string that passes over a frictionless pulley see the figure below. B If the strings can withstand a maximum tension of 850 N what maximum acceleration can elevator have before the upper string breaks. Find a the magnitude of the acceleration of each block and b the tension in the string. Read also solution and two blocks each of mass 3.50 kg The strings have negligible mas.
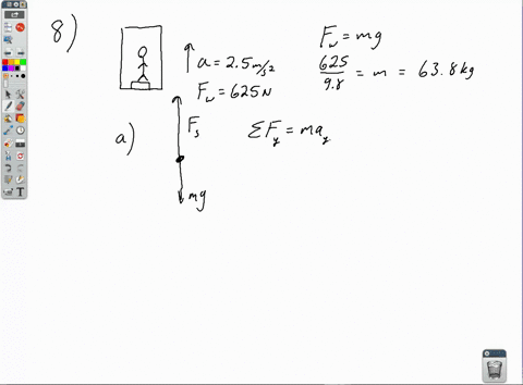
The elevators acceleration is 160 ms 2 upward. A If the elevator has an upward acceleration a 160 ms 2 find the tensions T 1 and T 2 in the upper and lower strings.

Solved Two Blocks Of Mass 3 50 Kg And 8 00 Kg Are Connected Two Blocks 1 Answer Transtutors
| Title: Solved Two Blocks Of Mass 3 50 Kg And 8 00 Kg Are Connected Two Blocks 1 Answer Transtutors Two Blocks Each Of Mass 3.50 Kg |
| Format: Google Sheet |
| Number of Views: 9195+ times |
| Number of Pages: 149+ pages |
| Publication Date: September 2018 |
| Document Size: 725kb |
| Read Solved Two Blocks Of Mass 3 50 Kg And 8 00 Kg Are Connected Two Blocks 1 Answer Transtutors |
The inclines are frictionless.
B If the strings can withstand a maximum tension of 850 N what maximum acceleration can the elevator have before the first string breaks. Two blocks of mass 350 kg and 800 kg are connected by a massless string that passes over a frictionless pulley as in the figure below. A On the dots below that represent the blocks draw and label the forces not components that act on each block. The inclines are also frictionless. Two blocks each of mass m 350 kg are hung from the ceiling of an elevator as in Figure P543. Two blocks each of mass m350 kg are hung from the ceiling of anelevator.
2
| Title: 2 Two Blocks Each Of Mass 3.50 Kg |
| Format: PDF |
| Number of Views: 9146+ times |
| Number of Pages: 81+ pages |
| Publication Date: May 2019 |
| Document Size: 725kb |
| Read 2 |
Problem 3 Two Blocks Of Mass 3 50 Kg And 8 00 Kg Are Chegg
| Title: Problem 3 Two Blocks Of Mass 3 50 Kg And 8 00 Kg Are Chegg Two Blocks Each Of Mass 3.50 Kg |
| Format: Doc |
| Number of Views: 8211+ times |
| Number of Pages: 141+ pages |
| Publication Date: January 2020 |
| Document Size: 810kb |
| Read Problem 3 Two Blocks Of Mass 3 50 Kg And 8 00 Kg Are Chegg |
Two Blocks Each Of Mass M 3 50 Kg Are Hung From Chegg
| Title: Two Blocks Each Of Mass M 3 50 Kg Are Hung From Chegg Two Blocks Each Of Mass 3.50 Kg |
| Format: PDF |
| Number of Views: 8175+ times |
| Number of Pages: 25+ pages |
| Publication Date: November 2017 |
| Document Size: 3.4mb |
| Read Two Blocks Each Of Mass M 3 50 Kg Are Hung From Chegg |

X1 La3 Two Blocks Of Mass 3 50 Kg And 8 00 Kg Are Chegg
| Title: X1 La3 Two Blocks Of Mass 3 50 Kg And 8 00 Kg Are Chegg Two Blocks Each Of Mass 3.50 Kg |
| Format: Doc |
| Number of Views: 3400+ times |
| Number of Pages: 263+ pages |
| Publication Date: April 2019 |
| Document Size: 1.7mb |
| Read X1 La3 Two Blocks Of Mass 3 50 Kg And 8 00 Kg Are Chegg |

Solved Two Blocks Each Of Mass M Are Fastened To The Top Of An Elevator 1 Answer Transtutors
| Title: Solved Two Blocks Each Of Mass M Are Fastened To The Top Of An Elevator 1 Answer Transtutors Two Blocks Each Of Mass 3.50 Kg |
| Format: Doc |
| Number of Views: 3210+ times |
| Number of Pages: 337+ pages |
| Publication Date: February 2018 |
| Document Size: 1.35mb |
| Read Solved Two Blocks Each Of Mass M Are Fastened To The Top Of An Elevator 1 Answer Transtutors |

Two Blocks Of Mass 3 50 Kg And 8 00 Kg Are Connected A Massless String That Passes Over A Frictionless Pulley Fig Above The Inclines Are Frictionless Find A The Magnitude Of
| Title: Two Blocks Of Mass 3 50 Kg And 8 00 Kg Are Connected A Massless String That Passes Over A Frictionless Pulley Fig Above The Inclines Are Frictionless Find A The Magnitude Of Two Blocks Each Of Mass 3.50 Kg |
| Format: Google Sheet |
| Number of Views: 6149+ times |
| Number of Pages: 289+ pages |
| Publication Date: July 2019 |
| Document Size: 3.4mb |
| Read Two Blocks Of Mass 3 50 Kg And 8 00 Kg Are Connected A Massless String That Passes Over A Frictionless Pulley Fig Above The Inclines Are Frictionless Find A The Magnitude Of |

Two Blocks Each Of Mass 3 50 Kg Are Hung From The Chegg
| Title: Two Blocks Each Of Mass 3 50 Kg Are Hung From The Chegg Two Blocks Each Of Mass 3.50 Kg |
| Format: Google Sheet |
| Number of Views: 3060+ times |
| Number of Pages: 333+ pages |
| Publication Date: June 2020 |
| Document Size: 1.3mb |
| Read Two Blocks Each Of Mass 3 50 Kg Are Hung From The Chegg |

Two Blocks Of Mass 3 50 Kg And 8 00 Kg Are Connected A Massless String That Passes Over A Frictionless Pulley Fig Above The Inclines Are Frictionless Find A The Magnitude Of
| Title: Two Blocks Of Mass 3 50 Kg And 8 00 Kg Are Connected A Massless String That Passes Over A Frictionless Pulley Fig Above The Inclines Are Frictionless Find A The Magnitude Of Two Blocks Each Of Mass 3.50 Kg |
| Format: Doc |
| Number of Views: 7130+ times |
| Number of Pages: 192+ pages |
| Publication Date: January 2018 |
| Document Size: 3.4mb |
| Read Two Blocks Of Mass 3 50 Kg And 8 00 Kg Are Connected A Massless String That Passes Over A Frictionless Pulley Fig Above The Inclines Are Frictionless Find A The Magnitude Of |

Two Blocks Each Of Mass M 3 50 Kg Are Hung From The Ceiling Of An Elevator As In Above Figure A If The Elevator Moves With An Upward Acceleration A
| Title: Two Blocks Each Of Mass M 3 50 Kg Are Hung From The Ceiling Of An Elevator As In Above Figure A If The Elevator Moves With An Upward Acceleration A Two Blocks Each Of Mass 3.50 Kg |
| Format: PDF |
| Number of Views: 4172+ times |
| Number of Pages: 71+ pages |
| Publication Date: November 2017 |
| Document Size: 5mb |
| Read Two Blocks Each Of Mass M 3 50 Kg Are Hung From The Ceiling Of An Elevator As In Above Figure A If The Elevator Moves With An Upward Acceleration A |

Solved Two Blocks Each Of Mass M 3 50 Mathrm Kg Are Fastened To The Top Of An Elevator As In Figure P 4 56 A If T
| Title: Solved Two Blocks Each Of Mass M 3 50 Mathrm Kg Are Fastened To The Top Of An Elevator As In Figure P 4 56 A If T Two Blocks Each Of Mass 3.50 Kg |
| Format: Doc |
| Number of Views: 9195+ times |
| Number of Pages: 225+ pages |
| Publication Date: February 2017 |
| Document Size: 3mb |
| Read Solved Two Blocks Each Of Mass M 3 50 Mathrm Kg Are Fastened To The Top Of An Elevator As In Figure P 4 56 A If T |

Two Blocks Each Of Mass M Are Fastened To The Top Of An Elevator
| Title: Two Blocks Each Of Mass M Are Fastened To The Top Of An Elevator Two Blocks Each Of Mass 3.50 Kg |
| Format: Doc |
| Number of Views: 8141+ times |
| Number of Pages: 308+ pages |
| Publication Date: November 2020 |
| Document Size: 2.1mb |
| Read Two Blocks Each Of Mass M Are Fastened To The Top Of An Elevator |
Find a the magnitude of the acceleration of each block and b the tension in the string. The inclines are also frictionless. Were studying Newtons Laws and the homework says Two blocks each of mass 350 kg are fastened to the top of an elevator as shown above.
Here is all you have to to read about two blocks each of mass 3.50 kg Two blocks each of mass 350 kg are fastened to the top of an elevator as shown above. Were studying Newtons Laws and the homework says Two blocks each of mass 350 kg are fastened to the top of an elevator as shown above. Find a the magnitude of the acceleration of each block and b the tension in the string. Solved two blocks each of mass m 3 50 mathrm kg are fastened to the top of an elevator as in figure p 4 56 a if t two blocks of mass 3 50 kg and 8 00 kg are connected a massless string that passes over a frictionless pulley fig above the inclines are frictionless find a the magnitude of two blocks of mass 3 50 kg and 8 00 kg are connected a massless string that passes over a frictionless pulley fig above the inclines are frictionless find a the magnitude of x1 la3 two blocks of mass 3 50 kg and 8 00 kg are chegg problem 3 two blocks of mass 3 50 kg and 8 00 kg are chegg solved two blocks of mass 3 50 kg and 8 00 kg are connected two blocks 1 answer transtutors Click hereto get an answer to your question Two blocks each of mass m 350 kg are hung from the ceiling of an elevator as in above figure.
0 Comments